热门文章
使用opencv函数本身查找不带旋转且不带刻度不变
发布时间:2019-10-12 09:51来源:365bet娱乐场开户点击率:
全部展开
矩的特征主要表示图像区域的几何特征,也称为几何矩。由于其不变的旋转,平移,缩放和其他属性,也称为不变矩。
在图像处理中,不变的几何矩可以用作表示对象的重要特征,并且可以根据该特征对图像进行分类。
1)
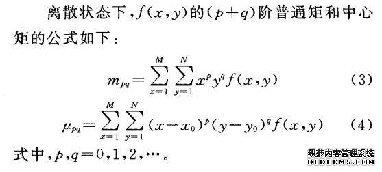
HU的几何矩矩是由Hu在1962年提出的(在矩不变的情况下,视觉模式识别)。图像f(x,y)的几何矩(p + q)为Mpq = x(x ^ p)*(y ^ q)f矩(x,y)dxdy(p,q = 0.1,...∞)用于反映随机变量分布的统计信息,是广义力学。用于表征空间物体的质量分布。
类似地,当将图像的灰度值视为2D或3D密度分布函数时,矩量法可用于图像分析领域,并可用于提取图像特征。
在大多数情况下,物体的零力矩表示图像的“质量”。Moo =∫∫f(x,y)使用dxdy的第一矩(M01,M10),图像质心(Xc,Yc):Xc = M10 / M00; Yc = M01 / M00;当移动到Xc和Yc时,相对于图像的位移获取恒定的中心矩。
例如,Upq =∫∫[(x-Xc)^ p]*[(y-Yc)^ q]f(x,y)dxdy。
胡在本文中提出了七个几何矩不变式。这些不变量对图像的平移,放大和旋转感到满意。
矩的特征主要表示图像区域的几何特征,也称为几何矩。由于其不变的旋转,平移,缩放和其他属性,也称为不变矩。
在图像处理中,不变的几何矩可以用作表示对象的重要特征,并且可以根据该特征对图像进行分类。
1)
HU的几何矩矩是由Hu在1962年提出的(在矩不变的情况下,视觉模式识别)。图像f(x,y)的几何矩(p + q)为Mpq = x(x ^ p)*(y ^ q)f矩(x,y)dxdy(p,q = 0.1,...∞)用于反映随机变量分布的统计信息,是广义力学。用于表征空间物体的质量分布。
类似地,当将图像的灰度值视为2D或3D密度分布函数时,矩量法可用于图像分析领域,并可用于提取图像特征。
在大多数情况下,物体的零力矩表示图像的“质量”。Moo =∫∫f(x,y)使用dxdy的第一矩(M01,M10),图像质心(Xc,Yc):Xc = M10 / M00; Yc = M01 / M00;当移动到Xc和Yc时,相对于图像的位移获取恒定的中心矩。
例如,Upq =∫∫[(x-Xc)^ p]*[(y-Yc)^ q]f(x,y)dxdy。
胡在本文中提出了七个几何矩不变式。这些不变量对图像的平移,放大和旋转感到满意。
